Influence of PWM operation on a motor's magnetic noise
30 October 2015

In this post, Jacques Saint-Michel, scientific director at Leroy-Somer, discusses the influence of PWM operation on a motor’s magnetic noise.
Most magnetic noise studies assume that currents have pure sinusoidal shape; in other words that no time harmonics are present in the calculation of MMF waves. Of course, PWM introduces time harmonics that we will now introduce.

1: Harmonics of PWM voltages

Here you can see the voltage waveform and spectrum of the PWM voltage, using space vector modulation, for a motor driven at 150 Hz with a chopping frequency at 3 kHz.

As can be seen, the voltage between phases (in blue) is a 3 level stepwise function, whereas the phase to neutral waveform is a five level stepwise function.

The next figure shows the frequency spectrum of the phase to phase voltage;

As can be seen, one finds a bunch of frequencies following the two relationships:

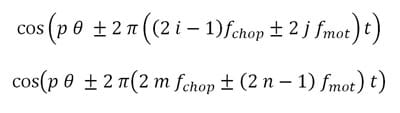
In the above, i, j, m and n are integers. Obviously from the spectrum, not all of these frequencies are present. It is then important to determine which of those are really present, and also to be able to predict if they lead to forward or backward revolving waves. In order to do that, it is necessary to go more in depth in the study of PWM algorithm.

    It turns out that:

  • For frequencies around an odd multiple of chopping frequencies, the sequence is forward, backward, zero and so on for the negative sign in front of motor frequency multiples, and backward, forward, zero and so on for positive sign
  • IFor frequencies around an even multiple of chopping frequencies, the sequence is forward, zero, backward and so on for the positive sign in front of motor frequency multiples, and backward, zero, forward and so on for negative sign

This is shown for some of those on the following spectrum 

Of course, these voltage harmonics will produce current harmonics, according to the equivalent machine impedance, and these latter will in turn produce revolving MMF forces, with the same pole number as the machine principal winding, forward or backward revolving.

Hence, in addition to terms in the MMF linked to the fundamental frequency, one will also find terms like:

Some of these terms are of course not present, as explained above.

2: Travelling waves of magnetic pressure

The MMF expression now has much more terms, and it is still worse for the MMF squared, which allows to determine the travelling waves of magnetic pressure acting on the stator bore.

And we will see hereafter that these contributions can lead to harmful noise waves, as they will combine high frequencies with low vibration orders (or number of poles), which are known to be by far the most redoubtable.

Let us for instance consider the combination of the main revolving field with one of the PWM waves;

These terms will result in the following waves:

Both of these are undesirable:


  • The last one is purely radial, and can excite the zero order resonance mode of the stator;
  • The first one can excite the 2 p order, which is the most likely to be excited in a 2 p motor.

Finally, all of the PWM induced waves are in the same situation, as can easily be imagined. Consequently, the risk is rather high, because these frequencies are speed dependent and are very numerous, to excite, at one speed or another, one of these harmful resonances. As the matter of fact, PWM induced waves can be encountered around any multiple of the chopping frequency, with a spacing corresponding to the motor frequency. This is true for any kind of machine. For this reason, the choice of the proper chopping frequency is very important for any electric machine in order to avoid unaffordable noise.

Browse all Technical blog posts